Por Carlos Uhart M.
La microdosificación con hongos psilocibios se ha convertido en una práctica cada vez más popular para estimular la creatividad, el enfoque y la regulación emocional sin inducir efectos psicodélicos.
Sin embargo, para lograr efectos seguros y consistentes, es fundamental calcular correctamente la dosis según el peso seco del hongo y su contenido de psilocibina.
En este sentido, la cepa Golden Teacher, por su potencia moderada, efectos estables y su cultivo relativamente sencillo, se ha establecido como el estándar de referencia para la mayoría de los protocolos de microdosis, de habitualmente entre 0,1 y 0,3 g de hongos secos, según la tolerancia de cada persona.
En este artículo aprenderás a:
- Calcular manualmente tu dosis usando la fórmula correcta.
- Ajustar esa dosis si usas una cepa distinta.
- Comparar cepas populares según su potencia y su equivalencia en gramos secos respecto a Golden Teacher.
¿Qué es una microdosis?
La microdosis consiste en consumir una cantidad subperceptual de hongos psilocibios con el objetivo de mejorar el bienestar emocional, la creatividad y el enfoque, sin inducir efectos psicodélicos intensos.
La dosis habitual de una microdosis se encuentra entre 0,1 y 0,3 gramos de hongos secos, dependiendo de la sensibilidad individual y la variedad del hongo.
En promedio, los hongos psilocibios contienen aproximadamente entre 0,6 y 1 % de psilocibina por gramo seco.
Esto significa que una microdosis de 0,2 g aporta entre 1,2 mg y 2 mg de psilocibina, una cantidad suficiente para generar beneficios sutiles sin alterar la percepción.
Golden Teacher como cepa de referencia
La forma correcta de calcularla es a partir del peso seco del hongo y su contenido de psilocibina (%).
La cepa Golden Teacher contiene en promedio:
- 0,6% de psilocibina sobre peso seco.
- Es decir, 1 g seco ≈ 6 mg de psilocibina.
- Por tanto, 0,1 g de Golden Teacher ≈ 0,6 mg de psilocibina, lo que corresponde a una microdosis inicial estándar.
Cómo hacer el cálculo manual si usas otra variedad
Cada variedad tiene una potencia distinta. Para mantener el mismo efecto que con Golden Teacher, entonces es necesario ajustar la dosis, en g o mg.
Ejemplo al calcular la equivalencia de 0,1 g (100 mg) de Golden Teacher al 0,6% de psilocibina a una cepa Blue Meanie al 0,9% de psilocibina.

En gramos:
[math]0{,}1\,\text{g} \times \left( \frac{0{,}6}{0{,}9} \right) = 0{,}067\,\text{g}[/math]
O en miligramos:
[math]100\,\text{mg} \times \left( \frac{0{,}6}{0{,}9} \right) = 66{,}7\,\text{mg}[/math]
Esto quiere decir que, para equiparar el contenido de psilocibina de 0,1 g (100 mg) de Golden Teacher, necesitarás solo 0,067 g (66,7 mg) de Blue Meanie.
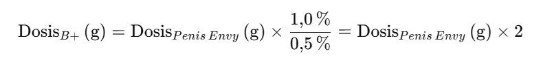
Cálculo entre cualquier variedad
Si ya has establecido una microdosis a partir de una variedad distinta a Golden Teacher y necesitas el equivalente en cualquier otra variedad, la fórmula sigue siendo la misma, incorporando el contenido de psilocibina de ambas cepas (tabla al final):

Por ejemplo, si queremos conocer la equivalencia en gramos de una cepa Penys Elvy (1%) para una cepa B+ (0,5%).

[math]\text{Dosis}_{B+} = 0{,}1\,\text{g} \times 2 = 0{,}2\,\text{g}[/math]
Esto quiere decir que para equiparar el contenido de psilocibina de 0,1 g (100 mg) de Penys Elvys necesitarás 0,2 g (200 mg) de B+.

Tabla comparativa ordenada por potencia

Conclusiones
Calcular bien tu microdosis es esencial para obtener beneficios reales sin sobrepasar el umbral perceptual.
La cepa Golden Teacher, con 0,6% de psilocibina, se establece como una referencia confiable para ajustar cualquier otra variedad de Psilocybe cubensis.
Con una fórmula sencilla y una tabla bien elaborada, puedes ajustar tu dosis manualmente de forma precisa y segura, sin depender de cápsulas comerciales ni cálculos aproximados.
(*) La información utilizada es referencial, obtenida de fuentes públicas a través de navegación IA, expresando el promedio dentro del rango reportado. Si dispones de información precisa de tus variedades, las fórmulas siguen siendo válidas.